欢迎各位兄弟 发布技术文章

这里的技术是共享的

You are here

时间复杂度分别为 O(n)和 O(1)的删除单链表结点的方法

有一个单链表,提供了头指针和一个结点指针,设计一个函数,在 O(1)时间内删除该结点指针指向的结点。

众所周知,链表无法随机存储,只能从头到尾去遍历整个链表,遇到目标节点之后删除之,这是最常规的思路和做法。

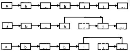
如图所示,删除结点 i,那么只需找到 i 的前驱 h,然后连 h 到 j,再销毁i 即可。虽然可以安全的删除 i 结点,但是是顺序查找找到 i,之后删除,时间复杂度是 O(n)级别的。具体做法就是:顺序查找整个单链表,找到要删除结点 i 的直接前驱 h,把 h额 next 指向i 的 next ,再删除 i 结点即可

现在假设的是我们知道这个单链表里一定存在我们需要删除的结点(也就是存在目标结点),因为是单链表,结点没有前驱,那么找到前驱,我们只能从头结点开始扫描整个链表,那么,我们可不可以去找到要删除结点的下一个结点呢?

时间复杂度为 O(1)的删除单链表结点的方法

如果我们直接找到要删除结点的下一个结点,是非常方便的,不用去遍历整个链表,只需把删除结点 i 的下一个结点j 的内容复制到 i 上,然后把 i 的指针指向 j 的next,然后再删除j 结点。等价于删除了 i 结点。整个过程无需遍历整个链表,时间复杂度是 O(1)级别

继续思考这个思路:这个方法,依靠的是结点的后继指针,如果要删除的结点在末尾,也就说,结点没有后继,怎么处理?

本题目没有给出尾指针,那么此种特殊情况,还是需要从头到尾遍历整个链表,得到该结点的前驱,然后删除该结点。

继续思考,如果单链表只有一个结点,那么删除该结点需要做什么处理?

如果单链表只有一个结点,现在需要删除这个结点,也就是链表的头结点(尾结点),那么在删除之后,需要把头指针指向 NULL处理。

代码实现如下:

复制代码
 1 typedef struct Node{
 2     int data;
 3     Node *next;
 4 } Node, *List;
 5 
 6 void deleteNode(List *head, Node *del)
 7 {
 8     Node *p = NULL;
 9     //判断链表是否为空
10     if (!head) {
11         cout << "链表为空!" << endl;
12         exit(1);
13     }
14     //如果删除的结点是尾结点
15     if (del->next == NULL) {
16         p = *head;
17         //仍然需要遍历链表
18         while (p->next != del) {
19             //顺次后移
20             p = p->next;
21         }
22         //找到前驱,断链
23         p->next = NULL;
24         //删除结点
25         delete del;
26         //预防野指针
27         del = NULL;
28     }
29     //如果单链表只有一个结点
30     else if(*head == del){
31         //无需断链,直接删除
32         delete del;
33         del = NULL;
34         //头指针处理
35         *head = NULL;
36     }
37     //如果链表里有多个结点,且删除的结点不是尾结点
38     else{
39         //无须遍历链表
40         p = del->next;
41         del->data = p->data;
42         del->next = p->next;
43         delete p;
44         p = NULL;
45     }
46 }
复制代码

时间复杂度分析:

如果是删除非末位的结点,且结点有n(n>1)个,那么时间复杂度是 o(1),对于尾结点,是 o(n),总得来说,是【(n-1)o(1)+o(n)】/ n,结果还是 o(1),复合要求。

注意

1、考虑问题要全面,不要丢三落四,以为出了结果,就算完成任务了。需要严谨的求学问。

2、这个题目的思路其实是建立在客户事先知道本链表里存在需要删除的结点。如果不知道,我们还是需要先遍历整个链表进行查找!那样时间复杂度还是 o(n)。

3、关于删除结点,往往都是只能想到找到前驱,删除,但是逆向思路看,不一定说,删除结点,就一定要删除这个结点,我们可以找到结点的后继,然后通过内容复制,删除该结点的后继结点,来达到删除该结点一样的效果。

 

辛苦的劳动,转载请注明出处,如果真心帮到了您,为鼓励更多的写作,您可以选择博客右侧的打赏功能。

来自  https://www.cnblogs.com/kubixuesheng/p/4390917.html

普通分类: